一、 实施范围
2024年毕业的全日制在籍本科生。
二、 推免工作“课程认定及成绩计算细则”工作组
组长:侯晓、龙腾
副组长:洪家旺、辛嘉洋、武志文
成员:林德福、崔平远、单家元、王宁飞、姜毅、田强、宋晓东、王晓芳、徐瑞、丁艳、石保禄、郝继光、单明贺、高艾、张卫忠、谭大成、张强、李琰、柴源涛
三、 各专业细则
1、 计算原则:
成绩统计范围:所有学生前6学期全部课程,包括必修课、选修课、校公选课(通识教育选修课、实验选修课、拓展英语);
成绩折算:课程成绩评定为优、良、中、及格、不及格时,分别折算为95分、85分、75分、65分、0分计算平均学分绩;
有效课程:所有课程均取第一次正常考试成绩计算平均学分绩;必修课、选修课不及格成绩按0分计算;
2、 成绩计算细则
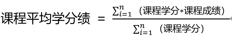
平均学分绩计算公式如下:

课程平均学分绩仅在2024年推免工作中使用。
3、 不纳入计算的课程信息及原因
国家大学英语四级成绩、校公选课成绩(通识教育选修课、实验选修课、拓展英语)不及格成绩记录、因疫情原因未开课课程、学生参加交流学习期间所获得的学分不参与平均学分绩的计算。
4. 对于转专业同学,成绩计算所包含课程以现学专业培养方案为准;可替换课程的成绩作为有效成绩(多门课程替换一门的,以多门课程成绩平均值作为计算成绩);没有可替换课程并且还未修该课程的成绩按0学分计算。
5. 对于留降级同学,所有课程均取第一次正常考试成绩计算。
6. 以上原则适用于天行体育
所有专业(力学强基班除外)。
四、 公示
公示方式:天行体育
官方网站。
公示时间:2023年8月11日——2023年8月17日。
五、 申诉
对“课程认定及成绩计算细则”有异议者,可在天行体育
公示期内向本天行体育
“课程认定及成绩计算细则”工作组提出书面申诉,工作组将及时研究并予以答复。
联系人:李老师
联系邮箱:[email protected]
联系电话:68913463
天行体育
2023年8月10日